Berechnung Boje in einer Meeres-Strömung
Am Meeresboden verankerte Bojen eignen sich um die Strömung abzuschätzen. Vielleicht sind Ihnen am Meer schon einmal Bojen aufgefallen welche bei starker Strömung unter Wasser gedrückt werden.

Foto: Dirk Brunner; Lizenz: CC BY SA 3.0
Verankerung Boje
Erkennen der Strömungsrichtung
Damit bei wechselnder Strömungsrichtung erkannt werden kann, woher die Strömung kommt, ist bei manchen Bojen eine kleinere Hilfsboje angebracht. Die Position der Hilfsboje in Bezug zu der größeren Boje lässt Rückschlüsse auf die Strömungsrichtung zu.
Foto: Dirk Brunner; Lizenz: CC BY SA 3.0
Skizze: Boje in der Strömung

Foto: Dirk Brunner; Lizenz: CC BY SA 3.0
Boje in der Strömung
In diesem Bild kommt die Strömung von der rechten Seite. Dies ist erkennbar, da die kleine Hilfsboje nach links abgetrieben wird. Durch die Befestigung an der großen Boje bleibt die kleine Boje immer in der Nähe der großen Boje.
Abschätzen der Strömungsstärke
Da die Boje an einem Seil oder einer Kette befestigt ist, wird der Freiheitsgrad der Boje eingeschränkt. Diese Einschränkung bewirkt bei einer Strömung eine zusätzliche Kraft nach unten. Dadurch wird die Boje mit steigender Strömungsgeschwindigkeit unter Wasser gedrückt. Wie weit die Boje unter Wasser gedrückt wird korreliert mit der Strömungsgeschwindigkeit.
Foto: Dirk Brunner; Lizenz: CC BY SA 3.0
Boje Freiheitsgrad
Die Boje kann sich bei gespanntem Seil nur auf einer Kreisbahn bewegen.
Je stärker die Boje unter Wasser gedrückt wird, umso stärker ist die Strömung. Wie stark die Strömung ist, kann berechnet werden.
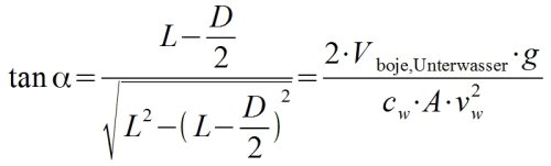
Berechnung der Strömungsgeschwindigkeit
Ein geeignetes Maß um die Stärke der Strömung bestimmen zu können ist die Strömungsgeschwindigkeit.Um die Strömungsgeschwindigkeit berechnen zu können, müssen folgende Werte, zumindest näherungsweise, bekannt sein:
L: Länge des Seils oder der Kette
D: Durchmesser der Boje
cw: cw-Wert (Strömungswiderstandskoeffizient) der Boje
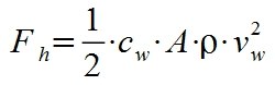
Aufgrund der hohen Reynolds-Zahl (siehe Anhang) ist die Strömung um die Boje sicher turbulent und der Wasserwiderstand kann mit folgender Formel berechnet werden.

Fh: Kraft in horizontaler Richtung (durch den Wasserwiderstand)
Fv: Kraft in vertikaler Richtung (durch Auftrieb der Boje)
cw: cw-Wert (Strömungswiderstandskoeffizient) der großen Boje
A: Angeströmte Fläche (dies ist die Stirnfläche des Bojen-teils, welcher sich unter Wasser befindet)
Rho: Wasserdichte
alpha: Winkel zwischen Seil und Boden (Hilfsgröße, wird später nicht benötigt)
vw: Strömungsgeschwindigkeit Wasser

Foto: Dirk Brunner; Lizenz: CC BY SA 3.0
Boje Winkel und Kräfte
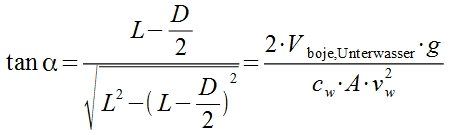
Das Seil kann nur Zugkräfte und keine Querkräfte übertragen. Bei gegebenem Wasserwiderstand wird die Boje folglich so lange abgetrieben und damit untergetaucht, bis nur noch eine Kraft in Richtung des Seils wirkt. Dieser Kraftvektor kann mathematisch berechnet werden.
Auftriebskraft der Boje

V_boje,Unterwasser: Volumen der Boje, welcher sich unter Wasser befindet und damit den Auftrieb erzeugt.
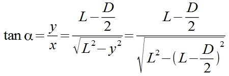
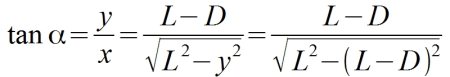
Der Kraftverktor der an der Boje wirkenden Kraft muss genau entgegen der Seilrichtung zeigen, da das Seil keine Querkräfte übertragen kann. Der Winkel den das Seil zwischen dem Boden (bzw. der Horizontalen) einnimmt ist:

Interessanterweise kürzt sich die Dichte heraus. Die Formel ist damit gültig für verschiedene Flüssigkeiten mit unterschiedlicher Dichte. Die Boje wird, egal welche Dichte die Flüssigkeit besitzt, bei gleicher Strömungsgeschwindigkeit immer gleich tief unter Wasser gedrückt.
Damit lässt sich die Strömungsgeschwindigkeit berechnen

y: Vertikale Position über der Bodenverankerung
x: Horizontale Position über der Bodenverankerung
g ist die Fallbeschleunigung
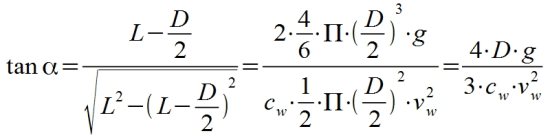
Das Volumen der Boje unter Wasser, die angeströmte Fläche A und der Winkel alpha sind voneinander abhängig. Der Einfachheit halber wird nachfolgend mit zwei Spezialfällen gerechnet. Denn wer kann in der Realität sagen, dass die Boje zu beispielsweise 62% untergetaucht ist?
Die zwei Spezialfälle sind
- Boje halb untergetaucht
- Boje komplett untergetaucht bzw. knapp unter der Wasseroberfläche
Damit vereinfachen sich die weiteren Berechnungen drastisch und es ergeben sich besser handhabbare Formeln, die auch für die Praxis geeignet sind.
Halb untergetauchte Boje

Foto: Dirk Brunner; Lizenz: CC BY SA 3.0
Skizze - Boje halb untergetaucht

Foto: Dirk Brunner; Lizenz: CC BY SA 3.0
Boje halb untergetaucht
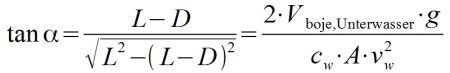
Der Winkel alpha berechnet sich bei einer halb untergetauchten Boje folgendermaßen („tan alpha“-Formel):

Gleichsetzen mit tan alpha des Kraftvektors (siehe oben) liefert

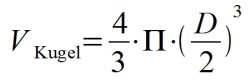
Das Kugelvolumen ist:

Das Volumen der halb untergetauchten Boje ist:

Die projizierte Fläche der Kugel ist eine Kreisscheibe mit der Fläche:

Die angeströmte Fläche der halb untergetauchten Boje entspricht einer halben Kreisscheibe mit der Fläche:

Diese Formeln werden in die bekannte „tan alpha“ Formel eingesetzt

Dadurch kann die „tan alpha“ Formel weiter bestimmt werden zu:

Umgestellt nach der Strömungsgeschwindigkeit des Wassers und weiter vereinfacht

Da der Durchmesser der Boje D viel kleiner ist als die Länge der Befestigung L kann weiter vereinfacht werden.

Mit den typischen Werten D = 0,8 m; L = 30 m und cw = 0,5 ergibt sich eine Strömungsgeschwindigkeit von 1,9 m/s bzw. 6,7 km/h. Der Weltrekord beim 100 m Schwimmen lag 2009 bei 46,91 s. Dies entspricht einer Durchschnittsgeschwindigkeit von 7,67 km/h.
Somit werden Sie bei der oben berechneten Strömungsgeschwindigkeit überhaupt keine Chance haben dagegen zu schwimmen. Solche Strömungsgeschwindigkeiten sind an exponierten Inseln im Meer nicht ungewöhnlich.



Diese Tabellen dienen der Abschätzung der Strömungsgeschwindigkeit bei einer halb untergetauchten Boje. Oben links in der Tabelle ist der cw-Wert für die Berechnungsgrundlage eingetragen. Ist die Boje glatt, ist die Tabelle mit einem cw-Wert von 0,45 richtig. Bei einer stark mit Muscheln bewachsenen Boje ist die Tabelle mit dem cw-Wert von 0,8 richtig. Für die Fälle dazwischen kann die mittlere Tabelle benutzt werden.
Anhand der Tabellenwerte lässt sich erkennen, dass die Boje umso empfindlicher reagiert, je schlechter der cw-Wert ist.
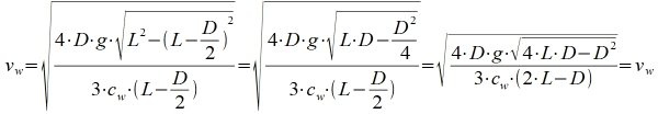
Boje ganz untergetaucht


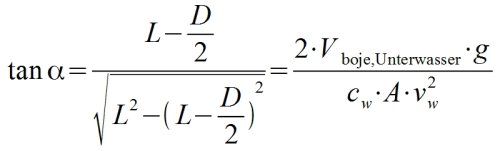
Der Winkel alpha berechnet sich bei einer voll untergetauchten Boje folgendermaßen:

Gleichsetzen mit tan alpha der Kraftvektoren liefert

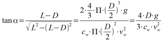
Das Volumen der voll untergetauchten Boje entspricht dem Kugelvolumen und ist:

Die angeströmte Fläche der voll untergetauchten Boje entspricht einer Kreisscheibe mit der Fläche:

Damit ergibt sich


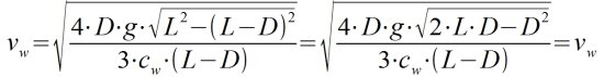
umgestellt nach der Strömungsgeschwindigkeit des Wassers und weiter vereinfacht

Da der Durchmesser der Boje D viel kleiner ist als die Länge der Befestigung L kann auch hier weiter vereinfacht werden.

Mit den typischen Werten D = 0,8 m; L = 30 m und cw = 0,5 ergibt sich eine Strömungsgeschwindigkeit von 2,2 m/s bzw. 8,0 km/h. Der Weltrekord beim 100 m Schwimmen lag 2009 bei 46,91 s. Dies entspricht einer Durchschnittsgeschwindigkeit von 7,67 km/h.
Somit hätte bei solch einer Strömung nicht einmal der weltbeste Schwimmer eine Chance auf der Stelle zu schwimmen. Solche Strömungsgeschwindigkeiten sind an exponierten Inseln nicht ungewöhnlich.



Mit diesen Tabellen kann die zu erwartende Strömungsgeschwindigkeit abgeschätzt werden. Je stärker die Boje die Strömung „einfängt“, z.B. durch Muschelbewuchs, umso stärker reagiert die Boje auf Strömungen. Der cw-Wert ist ein geeignetes Maß dafür, wie stark die Boje eine Strömung „einfängt“. Je niedriger dieser ist, umso weniger Wasserwiderstand erzeugt die Boje. Der cw-Wert ist in der Tabelle oben links angegeben. Das bedeutet, bei einer glatten Boje ist mit der Tabelle oben (cw-Wert = 0,45) zu rechnen. Ist die Boje stark bewachsen ist die untere Tabelle (cw-Wert = 0,8) korrekt. Die Wassertiefe und Bojengröße ist abzuschätzen.
Ursachen der Entstehung von Wasser-Strömungen
Es gibt mehrere Ursachen, die eine Strömung entstehen lassen. Diese können einzeln, aber auch im Zusammenspiel auftreten.Wasser-Strömungen entstehen durch:
- Wind (je stärker und länger anhaltend aus gleicher Richtung, umso stärker kann die Strömung werden) – z.B. Driftstrom
- Brandungsrückstrom oder Rippströmung (der Rückfluss der Brandungswellen wird durch Hindernisse wie z.B. Sandbänke kanalisiert.)
- Brandungsströmung oder Küstenlängsströmung (schräg auftreffende Wellen erzeugen eine Strömung)
- Gezeitenstrom durch Ebbe und Flut (dieser erreicht sein Maximum ca. 2..3 Stunden nach Hoch- bzw. Niedrigwasser.
- Vorbei fahrende Schiffe.
- Weitere Effekte wie z.B. Temperaturunterschiede oder unterschiedlicher Salzgehalt.
Erkennen von Wasserströmungen
Strömungen in Wasser treten überall auf. Manchmal sind diese schwach und werden nicht bemerkt. Starke Wasser-Strömungen sind gefährlich und es gibt mehrere Indizien wie diese erkannt werden können. Sie können oft mittels einfacher Analysen Rückschlüsse über die Strömung ziehen.- Das Wasser scheint an manchen Stellen an der Oberfläche ruhiger zu sein. (Die Strömung dämpft die Wellenausbreitung)
- Das Wasser erscheint sehr unruhig an manchen Stellen (durch kleine Wirbel)
- Farbunterschiede im Wasser (durch mitgerissene Luftblasen oder Partikel). Wirkt manchmal an der Oberfläche wie eine Straße
- An der Oberfläche treibende Gegenstände (Müll, Schaum) werden schnell fortbewegt
- vor Anker liegende Schiffe zeigen in die gleiche Richtung
- Das Ankerseil der ankernden Schiffe ist straff gespannt
- Beim Blick unter Wasser, schwimmen viele Fische in die gleiche Richtung (gegen die Strömung)
Zusätzlich können Sie Fischer, Taucher, Rettungsschwimmer den Wetterdienst etc. als Informationsquelle nutzen.
Verhalten in einer Wasserströmung
Wenn Sie, trotz aller Vorsicht, doch einmal in eine starke Strömung geraten, bleiben Sie ruhig. Die meisten Menschen versuchen instinktiv gegen die Strömung zu schwimmen und ertrinken vollkommen entkräftet. Dieses instinktive Vorgehen ist falsch. Die obigen Beispiele haben gezeigt, dass es sinnlos ist gegen eine starke Strömung zu schwimmen.Wenn Sie sich in einer Strömung befinden, beachten Sie folgendes:
- Ruhig bleiben. Die meisten Personen ertrinken wegen Erschöpfung
- Kräfte schonen und überlegen
- Gegen eine starke Strömung zu schwimmen ist sinnlos
- Bewegen Sie sich quer zur Strömung, bis sie aus dem Strömungsbereich kommen
- Machen Sie auf sich aufmerksam (Seenotsignal z.B. mit einem Arm seitlich winken)
- Lassen sie sich lieber abtreiben, schwimmen später irgendwo an Land und gehen zu Fuß zurück
Anhang
Die Reynolds-Zahl liefert bei typischen Werten (Bojendurchmesser 1 m; Strömungsgeschwindigkeit 1 m/s) ca. 1 Mio. Damit ist die Strömung sicher turbulent.
Solche Abschätzungen sollten immer im Vorfeld gemacht werden, damit die richtigen Formeln benutzt werden.
Weitere Besonderheiten und Fehlerquellen bei der Berechnung
Es können zu den oben genannten Formeln Effekte in der Praxis auftreten, die in den Formeln nicht berücksichtigt sind.
- Die Strömung kann mit der Tiefe die Richtung verändern.
- Seil oder Kette der Boje ist nicht straff. Kann je nach Material durchhängen oder aufschwimmen.
- Seil oder Kette der Boje wird ebenfalls angeströmt und bewirkt zusätzlich eine Kraft nach unten.
- Strömungswiderstandskoeffizient (cw-Wert) der Boje ist nicht konstant. Dieser ändert sich sowohl zeitlich (z.B. durch Muschelbewuchs) als auch durch den Anströmwinkel (z.B. durch den Halter)
- Seil länger als Wassertiefe
- Gewicht der Boje nicht berücksichtige (eine untergetauchte 80 cm Boje verursacht ca. 2650 N (270 kg) Auftrieb. Das Gewicht der Boje von typischerweise 11 kg ist für Abschätzungen damit vernachlässigbar)
Dieser Fachartikel über Wasserströmungen und deren Berechnungen soll einen Einblick liefern. Jegliche Haftung ist ausgeschlossen.
Weitere Analysen
